某钻孔灌注桩,桩身直径d= 1000mm,扩底直径D=1400mm,扩底高度1. 0m,桩长 12.5m。桩侧土层分布情况如下:0~6.0m黏土层,桩极限...

作者: tihaiku 人气: - 评论: 0
问题 某钻孔灌注桩,桩身直径d= 1000mm,扩底直径D=1400mm,扩底高度1. 0m,桩长 12.5m。桩侧土层分布情况如下:0~6.0m黏土层,桩极限侧阻力标准值qsK= 40kPa; 6. 0~ 10. 7m 粉土层,qsk=44kPa;10. 7m 以下是中砂层 qsk = 55kPa; qpk =5500kPa,则单桩承载力特征值为( )kN。 A. 4247 B. 5125 C. 5187 D. 5221
选项
答案 A
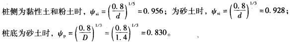
解析 该桩直径d = 1000mm>800mm,属于大直径桩。根据《建筑桩基技术规范》(JGJ 94—2008)第5. 3. 6条,大直径桩的单桩极限承载力可由公式 Quk = Qsk + Qpk =u∑ψsiliqsik+ψpApqpk计算。根据表5. 3. 6—2,大直径灌注桩侧阻力尺寸效应系数ψsi、端阻力尺寸效应系数ψp分别为: 将各土层的参数代入上式可得: Quk=u∑ψsiliqsik + ψpApqpk =π×1.0×(0. 956×40×6 +0. 956×44×4.7 +0. 928×55×0. 8)+0. 830×π×0.72 ×5500 = 8493kN。 则Ra= Quk/K= 9493/3 =4247kN。

相关内容:钻孔,灌注桩,桩身,直径,1000mm,扩底,1400mm,高度,桩长,桩侧,土层,情况,如下,极限

猜你喜欢

发表评论
更多 网友评论0 条评论)
暂无评论

访问排行

Copyright © 2012-2014 恰考网 Inc. 保留所有权利。 Powered by tikuer.com

页面耗时0.0318秒, 内存占用1.05 MB, Cache:redis,访问数据库18次