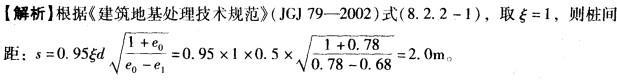
地基为松散砂土,采用砂石桩挤密法处理,天然孔隙比e0=0.78,要求挤密后孔隙比达到0.68,砂石桩直径d=0.5m,不考虑振动下沉密实作用,按等边三角形...

作者: tihaiku 人气: - 评论: 0
问题 地基为松散砂土,采用砂石桩挤密法处理,天然孔隙比e0=0.78,要求挤密后孔隙比达到0.68,砂石桩直径d=0.5m,不考虑振动下沉密实作用,按等边三角形布桩,桩间距宜为()。 A. 1. 0 B. 1.5 C. 2.0 D. 2. 5
选项
答案 C
解析

相关内容:地基,砂土,砂石,桩挤,密法,天然,孔隙,要求,挤密,直径,振动,作用,等边三角形

猜你喜欢

发表评论
更多 网友评论0 条评论)
暂无评论

访问排行

Copyright © 2012-2014 恰考网 Inc. 保留所有权利。 Powered by tikuer.com

页面耗时0.0278秒, 内存占用1.05 MB, Cache:redis,访问数据库19次