某岩体的岩石单轴饱和抗压强度为10MPa,在现场做岩体的波速试验=4.0km/s, 在室内对岩块进行波速试验vpr=5.2km/s,如不考虑地下水、软弱结...

作者: tihaiku 人气: - 评论: 0
问题 某岩体的岩石单轴饱和抗压强度为10MPa,在现场做岩体的波速试验=4.0km/s, 在室内对岩块进行波速试验vpr=5.2km/s,如不考虑地下水、软弱结构面及初始应力的影响,根据《工程岩体分级标准》(GB 50218—1994),岩体基本质量指标BQ值和基本质量级别正确的是( )。 A. 312.3; IV级 B. 265.9; IV级 C. 486.8; II级 D. 320.0; III 级
选项
答案 B
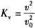
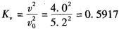
解析 根据《工程岩体分级标准》(GB 50218—1994)第4. 2. 2条,岩体基本质量指标 (BQ)应根据分级因素的定量指标Rb的兆帕数值和Kv,计算公式为:BQ =90+3Re+ 250KV。式中,BQ为岩体基本质量指标,Basicquality; Rb为岩石单轴饱和抗压强度;Kv为岩体完整性系数,,其中v为现场岩体弹性波速度,v0为室内岩石试件弹性波速度。根据已知数据计算:,则BQ =90+3Rb+250Kv=90+30 + 147. 93 =267. 93。BQ 在 251 ~ 350 之间,故岩体为IV级围岩。

相关内容:岩体,岩石,单轴,饱和,强度,现场,波速,试验,岩块,地下水

猜你喜欢

发表评论
更多 网友评论0 条评论)
暂无评论

访问排行

Copyright © 2012-2014 恰考网 Inc. 保留所有权利。 Powered by tikuer.com

页面耗时0.0565秒, 内存占用1.04 MB, Cache:redis,访问数据库19次