在岩溶地区对溶洞顶板稳定性进行验算,如根据梁板受力理论计算其弯矩,当顶板跨中有裂缝,顶板两端支座处岩石坚固完整时宜根据( )进行计算。

作者: tihaiku 人气: - 评论: 0
问题 在岩溶地区对溶洞顶板稳定性进行验算,如根据梁板受力理论计算其弯矩,当顶板跨中有裂缝,顶板两端支座处岩石坚固完整时宜根据( )进行计算。
选项
答案 A
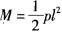
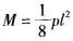
解析 根据受力弯矩情况估算溶洞顶板的安全厚度适用于顶板岩体层理厚、完整、坚 硬、强度高,同时已掌握溶洞顶板厚度和裂隙发育情况。不同情况的弯矩分别为:①对顶板两端支座处岩体完整、坚硬、仅顶板跨中有裂隙的,按悬臂梁计算:; ②对顶板较完整、仅支座处岩体有裂隙的,按简支梁计算:; ③对顶板和支座处的岩层均较完整的,按两端固定梁计算:

猜你喜欢

发表评论
更多 网友评论0 条评论)
暂无评论

访问排行

Copyright © 2012-2014 恰考网 Inc. 保留所有权利。 Powered by tikuer.com

页面耗时0.0444秒, 内存占用1.03 MB, Cache:redis,访问数据库17次