在某两个场地的两个钻孔内的同样深度上进行做标贯试验,用国标《建筑抗震设计规范》(GB 50011 —2010)规定的方法进行砂土液化判别。在其他条件完全相...

作者: tihaiku 人气: - 评论: 0
问题 在某两个场地的两个钻孔内的同样深度上进行做标贯试验,用国标《建筑抗震设计规范》(GB 50011 —2010)规定的方法进行砂土液化判别。在其他条件完全相同的情况下,甲场地钻孔标贯处的黏粒含量ρc为1%;乙场地钻孔标贯处的黏粒含量ρc为3%, 则()。 A.甲处的标准贯入击数临界值是乙处的3倍 B.甲处的标准贯入击数临界值是乙处的1.73倍 C.乙处的标准贯入击数临界值是甲处的1.73倍 D.甲、乙两处的标准贯入击数临界值相等
选项
答案 B
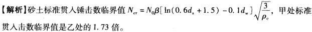
解析

相关内容:两个,场地,钻孔,深度,做标,试验,建筑抗震设计规范,方法,砂土,液化,判别,条件

猜你喜欢

发表评论
更多 网友评论0 条评论)
暂无评论

访问排行

Copyright © 2012-2014 恰考网 Inc. 保留所有权利。 Powered by tikuer.com

页面耗时0.0377秒, 内存占用1.04 MB, Cache:redis,访问数据库20次