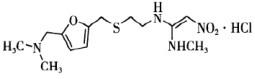
化学结构如下的药物为A:马来酸氯苯那敏B:法莫替丁C:奥美拉唑D:雷尼替丁E:西咪替丁

作者: rantiku 人气: - 评论: 0
问题 化学结构如下的药物为
选项 A:马来酸氯苯那敏 B:法莫替丁 C:奥美拉唑 D:雷尼替丁 E:西咪替丁
答案 D
解析 考查雷尼替丁的化学结构,结构中含有呋喃环,故选答案D。

猜你喜欢

发表评论
更多 网友评论0 条评论)
暂无评论
错误啦!

错误信息

  • 消息: [程序异常] : MISCONF Redis is configured to save RDB snapshots, but it's currently unable to persist to disk. Commands that may modify the data set are disabled, because this instance is configured to report errors during writes if RDB snapshotting fails (stop-writes-on-bgsave-error option). Please check the Redis logs for details about the RDB error.
  • 文件: /twcms/kongphp/cache/cache_redis.class.php
  • 位置: 第 85 行
    <?php echo 'KongPHP, Road to Jane.'; ?>