样品总件数为n,如按包装件数来取样,正确的是A:n≤300时,按随机取样B:n>300时,按随机取样C:n>300时,按随机取样D:n>...

作者: rantiku 人气: - 评论: 0
问题 样品总件数为n,如按包装件数来取样,正确的是
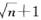
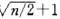
选项 A:n≤300时,按随机取样 B:n>300时,按随机取样 C:n>300时,按随机取样 D:n>300时,按随机取样 E:300≥n>3时,随机取样
答案 D
解析 取样应有科学性,即应保证样品的真实性和代表性。取样原则为均匀、合理。固体原料药用取样探子取样,取样量由产品数量(n)决定:当n≤3时,每件取样;3<n≤300时,按随机取样;n>300时,按随机取样;制剂按具体情况而定。

猜你喜欢

发表评论
更多 网友评论0 条评论)
暂无评论

访问排行

Copyright © 2012-2014 恰考网 Inc. 保留所有权利。 Powered by tikuer.com

页面耗时0.0322秒, 内存占用1.03 MB, Cache:redis,访问数据库18次