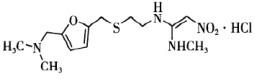
化学结构如下的药物为A:马来酸氯苯那敏B:法莫替丁C:奥美拉唑D:雷尼替丁E:西咪替丁

作者: rantiku 人气: - 评论: 0
问题 化学结构如下的药物为
选项 A:马来酸氯苯那敏 B:法莫替丁 C:奥美拉唑 D:雷尼替丁 E:西咪替丁
答案 D
解析 考查雷尼替丁的化学结构,结构中含有呋喃环,故选答案D。

猜你喜欢

发表评论
更多 网友评论0 条评论)
暂无评论

访问排行

Copyright © 2012-2014 恰考网 Inc. 保留所有权利。 Powered by tikuer.com

页面耗时0.0515秒, 内存占用1.02 MB, Cache:redis,访问数据库13次