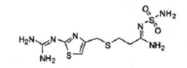
与法莫替丁的叙述不相符的是A.为高选择性的H2受体拮抗剂 B.结构中含有磺酰氨基 C.结构中含有胍基 D.结构中含有巯基 E.结构中含有噻唑基团

作者: tihaiku 人气: - 评论: 0
问题 与法莫替丁的叙述不相符的是
选项 A.为高选择性的H2受体拮抗剂 B.结构中含有磺酰氨基 C.结构中含有胍基 D.结构中含有巯基 E.结构中含有噻唑基团
答案 D
解析 法莫替丁结构中含有硫醚结构,不是巯基;

相关内容:法莫,替丁,叙述,受体,拮抗剂,结构,磺酰,氨基,胍基,巯基,噻唑,基团

猜你喜欢

发表评论
更多 网友评论0 条评论)
暂无评论

Copyright © 2012-2014 恰考网 Inc. 保留所有权利。 Powered by tikuer.com

页面耗时0.0552秒, 内存占用1.05 MB, Cache:redis,访问数据库19次