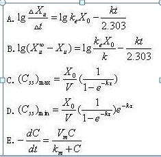
表示单室模型,多剂量静脉注射给药后的稳态最小血药浓度

作者: tihaiku 人气: - 评论: 0
问题 表示单室模型,多剂量静脉注射给药后的稳态最小血药浓度
选项
答案 D
解析

相关内容:单室,模型,剂量,稳态,血药,浓度

猜你喜欢

发表评论
更多 网友评论0 条评论)
暂无评论

Copyright © 2012-2014 恰考网 Inc. 保留所有权利。 Powered by tikuer.com

页面耗时0.0341秒, 内存占用1.04 MB, Cache:redis,访问数据库17次