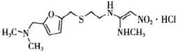
化学结构如下的药物为 A:马来酸氯苯那敏 B:法莫替丁 C:奥美拉唑 D:雷尼替丁 E:西咪替丁

作者: tihaiku 人气: - 评论: 0
问题 化学结构如下的药物为

选项 A:马来酸氯苯那敏 B:法莫替丁 C:奥美拉唑 D:雷尼替丁 E:西咪替丁
答案 D
解析 考查雷尼替丁的化学结构,结构中含有呋喃环,故选答案D。

相关内容:化学,结构,如下,药物,马来,氯苯,那敏,法莫,替丁,奥美,拉唑,雷尼替,西咪

猜你喜欢

发表评论
更多 网友评论0 条评论)
暂无评论

Copyright © 2012-2014 恰考网 Inc. 保留所有权利。 Powered by tikuer.com

页面耗时0.0351秒, 内存占用1.05 MB, Cache:redis,访问数据库19次