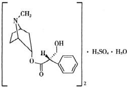
化学结构如下的药物,临床用于治疗 A:各种感染中毒性休克和心动过缓 B:心绞痛 C:高血压 D:重症肌无力 E:青光眼

作者: tihaiku 人气: - 评论: 0
问题 化学结构如下的药物,临床用于治疗
选项 A:各种感染中毒性休克和心动过缓 B:心绞痛 C:高血压 D:重症肌无力 E:青光眼
答案 A
解析 考查硫酸阿托品的用途及结构。硫酸阿托品为M胆碱受体拮抗剂,具有解痉、散瞳和抑制腺体分泌的作用,可用于治疗各种类型的内脏绞痛、麻醉前给药、散瞳、盗汗等,临床用于治疗各种感染中毒性休克和心动过缓,还可用于有机磷中毒时的解救。故选A。

猜你喜欢

发表评论
更多 网友评论0 条评论)
暂无评论
错误啦!

错误信息

  • 消息: [程序异常] : MISCONF Redis is configured to save RDB snapshots, but it's currently unable to persist to disk. Commands that may modify the data set are disabled, because this instance is configured to report errors during writes if RDB snapshotting fails (stop-writes-on-bgsave-error option). Please check the Redis logs for details about the RDB error.
  • 文件: /twcms/kongphp/cache/cache_redis.class.php
  • 位置: 第 85 行
    <?php echo 'KongPHP, Road to Jane.'; ?>