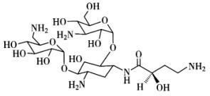
在卡那霉素分子中引入L-(-)氨基羟丁酰基侧链,所得到的药物对耐卡那霉素的金黄色葡萄球菌等细菌有显著的抑制作用,该药物是A:克拉霉素B:硫酸奈替米星 ...

作者: rantiku 人气: - 评论: 0
问题 在卡那霉素分子中引入L-(-)氨基羟丁酰基侧链,所得到的药物对耐卡那霉素的金黄色葡萄球菌等细菌有显著的抑制作用,该药物是
选项 A:克拉霉素
B:硫酸奈替米星
C:阿米卡星
D:硫酸依替米星
E:盐酸米诺环素
答案 C
解析

猜你喜欢

发表评论
更多 网友评论0 条评论)
暂无评论

访问排行

Copyright © 2012-2014 恰考网 Inc. 保留所有权利。 Powered by tikuer.com

页面耗时0.0344秒, 内存占用1.03 MB, Cache:redis,访问数据库17次