分子中含有2个手性中心,但只有3个光学异构体的药物是A:左氧氟沙星B:盐酸乙胺丁醇C:盐酸氯胺酮D:氯霉素E:盐酸麻黄碱

作者: rantiku 人气: - 评论: 0
问题 分子中含有2个手性中心,但只有3个光学异构体的药物是
选项 A:左氧氟沙星 B:盐酸乙胺丁醇 C:盐酸氯胺酮 D:氯霉素 E:盐酸麻黄碱
答案 B
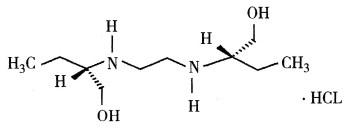
解析 含有两个手心中心的药物有盐酸乙胺丁醇、盐酸麻黄碱和氯霉素,但是盐酸麻黄碱和氯霉素均有四个光学异构体。由于盐酸乙胺丁醇的其中两个结构对称,结构如下图所示,所以只有三个光学异构体。

猜你喜欢

发表评论
更多 网友评论0 条评论)
暂无评论

访问排行

Copyright © 2012-2014 恰考网 Inc. 保留所有权利。 Powered by tikuer.com

页面耗时0.0338秒, 内存占用1.03 MB, Cache:redis,访问数据库20次