含有亚磺酰基苯并咪唑结构的药物是A:马来酸氯苯那敏B:盐酸雷尼替丁C:法莫替丁D:盐酸赛庚啶E:奥美拉唑

作者: rantiku 人气: - 评论: 0
问题 含有亚磺酰基苯并咪唑结构的药物是
选项 A:马来酸氯苯那敏 B:盐酸雷尼替丁 C:法莫替丁 D:盐酸赛庚啶 E:奥美拉唑
答案 E
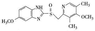
解析 奥美拉唑的结构式如下图所示:

猜你喜欢

发表评论
更多 网友评论0 条评论)
暂无评论

访问排行

Copyright © 2012-2014 恰考网 Inc. 保留所有权利。 Powered by tikuer.com

页面耗时0.0498秒, 内存占用1.03 MB, Cache:redis,访问数据库19次