关于滤过的影响因素的不正确表述是A:操作压力越大,滤速越快,因此常采用加压或减压滤过法B:滤液的黏度越大,则滤过速度越慢C:滤材中毛细管半径越细、...

作者: rantiku 人气: - 评论: 0
问题 关于滤过的影响因素的不正确表述是
选项 A:操作压力越大,滤速越快,因此常采用加压或减压滤过法 B:滤液的黏度越大,则滤过速度越慢 C:滤材中毛细管半径越细、阻力越大,不易滤过 D:由于Poiseuile公式中无温度因素,故温度对滤过速度无影响 E:滤速与滤材中的毛细管的长度成反比
答案 D
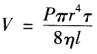
解析 本题考查滤过的影响因素,液体流动遵循Poiseuile公式:,①因此可见操作压力越大,滤速越快,因经常采用加压或减压滤过;②滤液的黏度越大,则滤过速度越慢,为此常采用趁热滤过;③滤材中毛细管半径对滤过的影响较大,毛细管越细,阻力越大,不易滤过;④滤速与毛细管的长度成反比,由此可知温度对于液体滤过是有影响的。故答案选D。

猜你喜欢

发表评论
更多 网友评论0 条评论)
暂无评论

访问排行

Copyright © 2012-2014 恰考网 Inc. 保留所有权利。 Powered by tikuer.com

页面耗时0.0452秒, 内存占用1.03 MB, Cache:redis,访问数据库19次