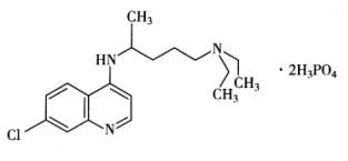
分子中存在S-氨基喹啉结构片段一,在体内转化为具有较强氧化性的喹啉醌衍生物,用作防止疟疾复发和传播的抗疟疾药物是A:盐酸左旋咪唑B:阿苯达唑C:吡...

作者: rantiku 人气: - 评论: 0
问题 分子中存在S-氨基喹啉结构片段一,在体内转化为具有较强氧化性的喹啉醌衍生物,用作防止疟疾复发和传播的抗疟疾药物是
选项 A:盐酸左旋咪唑
B:阿苯达唑
C:吡喹酮
D:磷酸氯喹
E:磷酸伯氨喹
答案 E
解析

猜你喜欢

发表评论
更多 网友评论0 条评论)
暂无评论

访问排行

Copyright © 2012-2014 恰考网 Inc. 保留所有权利。 Powered by tikuer.com

页面耗时0.0359秒, 内存占用1.03 MB, Cache:redis,访问数据库20次