属于核昔类的抗病毒药物有A:齐多夫定B:拉米夫定C:阿昔洛韦D:更昔洛韦E:磷酸奥司他韦

作者: rantiku 人气: - 评论: 0
问题 属于核昔类的抗病毒药物有
选项 A:齐多夫定
B:拉米夫定
C:阿昔洛韦
D:更昔洛韦
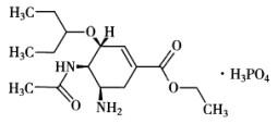
E:磷酸奥司他韦
答案 ABCD
解析

猜你喜欢

发表评论
更多 网友评论0 条评论)
暂无评论

访问排行

Copyright © 2012-2014 恰考网 Inc. 保留所有权利。 Powered by tikuer.com

页面耗时0.0345秒, 内存占用1.03 MB, Cache:redis,访问数据库20次