含有2个手性碳的苯硫氮类钙通道阻滞剂,用于冠心病治疗的药物是A.硝苯地平B.苯磺酸氨氯地平C.盐酸氟桂利嗪D.盐酸维拉帕米E.盐酸地尔硫

作者: rantiku 人气: - 评论: 0
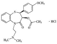
问题 含有2个手性碳的苯硫氮 类钙通道阻滞剂,用于冠心病治疗的药物是
选项

A.硝苯地平

B.苯磺酸氨氯地平

C.盐酸氟桂利嗪

D.盐酸维拉帕米

E.盐酸地尔硫

答案 E
解析

猜你喜欢

发表评论
更多 网友评论0 条评论)
暂无评论

访问排行

Copyright © 2012-2014 恰考网 Inc. 保留所有权利。 Powered by tikuer.com

页面耗时0.0588秒, 内存占用1.03 MB, Cache:redis,访问数据库17次