含有两个手性碳的药物是A.盐酸异丙肾上腺素B.盐酸麻黄碱C.盐酸普萘洛尔D.盐酸哌唑嗪E.硫酸沙丁胺醇

作者: rantiku 人气: - 评论: 0
问题 含有两个手性碳的药物是
选项

A.盐酸异丙肾上腺素
B.盐酸麻黄碱
C.盐酸普萘洛尔
D.盐酸哌唑嗪
E.硫酸沙丁胺醇

答案 B
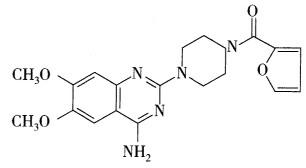
解析 各药物的结构如图所示,其中含有喹唑啉结构的药物是盐酸哌唑嗪,含有儿茶酚胺结构的药物是盐酸异丙肾上腺素,含有萘环的药物是盐酸普萘洛尔,含有两个手性碳的药物是盐酸麻黄碱。 盐酸普萘洛尔 麻黄碱 哌唑嗪 异丙肾上腺素

猜你喜欢

发表评论
更多 网友评论0 条评论)
暂无评论

访问排行

Copyright © 2012-2014 恰考网 Inc. 保留所有权利。 Powered by tikuer.com

页面耗时0.0326秒, 内存占用1.03 MB, Cache:redis,访问数据库18次