具有氨基醚结构A.盐酸苯海拉明B.马来酸氯苯那敏C.盐酸赛庚啶D.奥美拉唑E.盐酸雷尼替丁

作者: rantiku 人气: - 评论: 0
问题 具有氨基醚结构
选项

A.盐酸苯海拉明
B.马来酸氯苯那敏
C.盐酸赛庚啶
D.奥美拉唑
E.盐酸雷尼替丁

答案 A
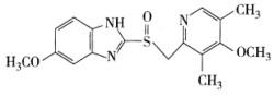
解析 奥美拉唑的结构式为: 苯海拉明的结构式为: 马来酸氯苯那敏的结构式为:

猜你喜欢

发表评论
更多 网友评论0 条评论)
暂无评论

访问排行

Copyright © 2012-2014 恰考网 Inc. 保留所有权利。 Powered by tikuer.com

页面耗时0.0288秒, 内存占用1.03 MB, Cache:redis,访问数据库19次