含有单磺酰胺结构的药物是A.桂利嗪B.氢氯噻嗪C.呋塞米D.依他尼酸E.螺内酯

作者: rantiku 人气: - 评论: 0
问题 含有单磺酰胺结构的药物是
选项

A.桂利嗪
B.氢氯噻嗪
C.呋塞米
D.依他尼酸
E.螺内酯

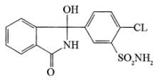
答案 C
解析 桂利嗪为哌嗪类钙拮抗剂。螺内酯、氢氯噻嗪和呋塞米的化学结构如下:

猜你喜欢

发表评论
更多 网友评论0 条评论)
暂无评论

访问排行

Copyright © 2012-2014 恰考网 Inc. 保留所有权利。 Powered by tikuer.com

页面耗时0.0345秒, 内存占用1.03 MB, Cache:redis,访问数据库17次