单室单剂量静脉滴注给药c-t关系式A.B.C.D.E.

作者: rantiku 人气: - 评论: 0
问题 单室单剂量静脉滴注给药c-t关系式
选项

A.
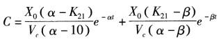
B.
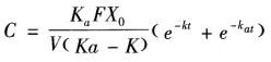
C.
D.
E.

答案 B
解析

猜你喜欢

发表评论
更多 网友评论0 条评论)
暂无评论

访问排行

Copyright © 2012-2014 恰考网 Inc. 保留所有权利。 Powered by tikuer.com

页面耗时0.0342秒, 内存占用1.03 MB, Cache:redis,访问数据库18次