含有3,5-羟基羧酸活性结构和嘧啶环骨架的HMG-CoA还原酶抑制剂的调血脂药物是A.他汀钙B.C.吉非罗齐D.非诺贝特E.氟伐他汀钠

作者: rantiku 人气: - 评论: 0
问题 含有3,5-羟基羧酸活性结构和嘧啶环骨架的HMG-CoA还原酶抑制剂的调血脂药物是
选项

A.他汀钙

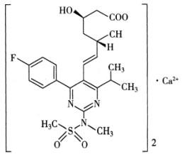
B.

C.吉非罗齐

D.非诺贝特

E.氟伐他汀钠

答案 E
解析

猜你喜欢

发表评论
更多 网友评论0 条评论)
暂无评论

访问排行

Copyright © 2012-2014 恰考网 Inc. 保留所有权利。 Powered by tikuer.com

页面耗时0.0423秒, 内存占用1.03 MB, Cache:redis,访问数据库20次