合有酰苯胺结构,通过拮抗雄激素受体,用于前列腺癌治疗的药物是A.米曲唑B.枸橼酸他莫昔芬C.氟尿嘧啶D.氟他胺E.氟康唑

作者: rantiku 人气: - 评论: 0
问题 合有酰苯胺结构,通过拮抗雄激素受体,用于前列腺癌治疗的药物是
选项

A.米曲唑

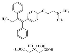
B.枸橼酸他莫昔芬

C.氟尿嘧啶

D.氟他胺

E.氟康唑

答案 D
解析

猜你喜欢

发表评论
更多 网友评论0 条评论)
暂无评论

访问排行

Copyright © 2012-2014 恰考网 Inc. 保留所有权利。 Powered by tikuer.com

页面耗时0.0305秒, 内存占用1.03 MB, Cache:redis,访问数据库19次