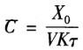
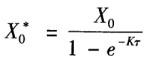
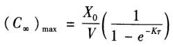
单室模型多剂量静脉注射给药平均稳态血药浓度公式A.B.C.D.E.V=X/C

作者: rantiku 人气: - 评论: 0
问题 单室模型多剂量静脉注射给药平均稳态血药浓度公式
选项

A.
B.
C.
D.
E.V=X/C

答案 A
解析 生物药剂学中的各关系式需牢记或根据公式名称采用观察法选择答案,如42题涉及曲线下总面积公式必定与AUC有关,所以42题答案为C。41题涉及稳态最大血药浓度即(C∞)max,所以41题答案为D。40题涉及平均稳定血药浓度即{图},所以题答案为A。39题涉及首剂量与维持剂量即X0与X*。所以39题选D。故答案为D、A、B、C。

猜你喜欢

发表评论
更多 网友评论0 条评论)
暂无评论

访问排行

Copyright © 2012-2014 恰考网 Inc. 保留所有权利。 Powered by tikuer.com

页面耗时0.0275秒, 内存占用1.03 MB, Cache:redis,访问数据库18次