分子中含有苯并二氮结构的药物是A.唑吡坦B.硫喷妥钠C.硝西泮D.氟西汀E.舒必利

作者: rantiku 人气: - 评论: 0
问题 分子中含有苯并二氮结构的药物是
选项

A.唑吡坦
B.硫喷妥钠
C.硝西泮
D.氟西汀
E.舒必利

答案 C
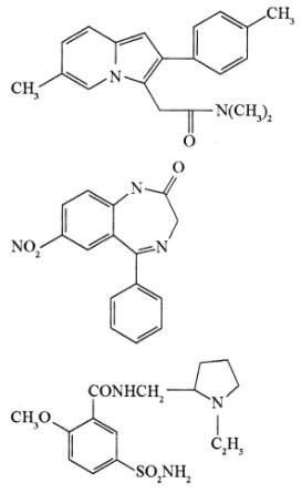
解析 唑吡坦、硝西泮和舒必利的结构式为

猜你喜欢

发表评论
更多 网友评论0 条评论)
暂无评论

访问排行

Copyright © 2012-2014 恰考网 Inc. 保留所有权利。 Powered by tikuer.com

页面耗时0.0329秒, 内存占用1.03 MB, Cache:redis,访问数据库16次