单室模型静脉滴注和静脉注射联合用药,首剂量(负荷剂量)的计算公式A.B.C.D.E.

作者: rantiku 人气: - 评论: 0
问题 单室模型静脉滴注和静脉注射联合用药,首剂量(负荷剂量)的计算公式
选项

A.
B.
C.
D.
E.

答案 D
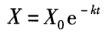
解析 单室外静脉注射给药、体内药量与时间变化关系式X={图},单室模型静脉滴注和静脉注射联合用药、负荷剂量{图1},单室模型静脉滴注给药,稳态血药浓度Css=K0/VK,,单室模型静脉注射给药,平均稳态血药浓度{图2}。单室模型血管外给药时平均稳态血药浓度{图3}。故题答案选E、B、D。

猜你喜欢

发表评论
更多 网友评论0 条评论)
暂无评论

访问排行

Copyright © 2012-2014 恰考网 Inc. 保留所有权利。 Powered by tikuer.com

页面耗时0.0331秒, 内存占用1.03 MB, Cache:redis,访问数据库19次