含有半胱氨酸结构,可降低痰液黏滞性的祛痰药物是A.盐酸氨溴索B.羧甲司坦C.右美沙芬D.磷酸苯丙哌林E.磷酸可待因

作者: rantiku 人气: - 评论: 0
问题 含有半胱氨酸结构,可降低痰液黏滞性的祛痰药物是
选项

A.盐酸氨溴索

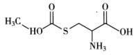
B.羧甲司坦

C.右美沙芬

D.磷酸苯丙哌林

E.磷酸可待因

答案 B
解析

猜你喜欢

发表评论
更多 网友评论0 条评论)
暂无评论

访问排行

Copyright © 2012-2014 恰考网 Inc. 保留所有权利。 Powered by tikuer.com

页面耗时0.0367秒, 内存占用1.02 MB, Cache:redis,访问数据库14次