百分吸收系数的表示符号是A:B:C:AD:TE:λ

作者: rantiku 人气: - 评论: 0
问题 百分吸收系数的表示符号是
选项 A: B: C:A D:T E:λ
答案 A
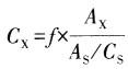
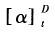
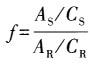
解析 本题考查对光谱分析法中基本符号的熟悉程度。为百分吸收系数,是当浓度以“g/100ml”为单位时的吸收系数;为比旋光度;A为吸光度;ε为摩尔吸收系数,是当浓度以“mol/L”为单位时的吸收系数;λ是波长符号。建议考生熟悉各类光谱分析法基本符号。本题答案应选A。

猜你喜欢

发表评论
更多 网友评论0 条评论)
暂无评论

访问排行

Copyright © 2012-2014 恰考网 Inc. 保留所有权利。 Powered by tikuer.com

页面耗时0.0345秒, 内存占用1.03 MB, Cache:redis,访问数据库19次