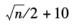
药品的总件数n>300时,取样的件数为()。A:n+1B:C:n-1D:E:

作者: rantiku 人气: - 评论: 0
问题 药品的总件数n>300时,取样的件数为()。
选项 A:n+1 B: C:n-1 D: E:
答案 B
解析 本题考查要点是“药品检验的程序与项目——取样”。取样的件数因产品批量的不同而不同。设药品包装(如箱、桶、袋、盒等)总件数为n,当n≤3时,应每件取样;当3<n≤300时,取样的件数应为;当n>300时,按的件数取样。所抽取的样品应真实并具有代表性,取样方法应具有科学性。除另有规定外,一般为多部位等量取样,混合后作为样品进行检验。一次取得的样品至少可供3次检验用。取样时必须填写取样记录,取样容器和被取样包装上均应贴上标签。因此,本题的正确答案为B。

猜你喜欢

发表评论
更多 网友评论0 条评论)
暂无评论

访问排行

Copyright © 2012-2014 恰考网 Inc. 保留所有权利。 Powered by tikuer.com

页面耗时0.0343秒, 内存占用1.03 MB, Cache:redis,访问数据库19次