与相对标准偏差计算有关的量包括A:测定结果χ1B:测定结果的平均值C:测定次数nD:相关系数rE:回归方程的斜率b

作者: rantiku 人气: - 评论: 0
问题 与相对标准偏差计算有关的量包括
选项 A:测定结果χ1 B:测定结果的平均值 C:测定次数n D:相关系数r E:回归方程的斜率b
答案 ABC
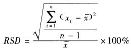
解析 相对标准偏差的计算公式为:,公式中,与相对标准偏差计算有关的量有测定结果χi、测定结果的平均值,测定次数n,所以答案为ABC。

猜你喜欢

发表评论
更多 网友评论0 条评论)
暂无评论

访问排行

Copyright © 2012-2014 恰考网 Inc. 保留所有权利。 Powered by tikuer.com

页面耗时0.0302秒, 内存占用1.03 MB, Cache:redis,访问数据库18次