有关平均滞留时间(MRT)确的叙述是A:B:平均滞留时间代表了所应用剂量消除63.2%所需的时间C:平均滞留时间通常大于药物的生物半衰期D:M...

作者: rantiku 人气: - 评论: 0
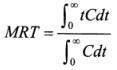
问题 有关平均滞留时间(MRT)确的叙述是
选项 A: B:平均滞留时间代表了所应用剂量消除63.2%所需的时间 C:平均滞留时间通常大于药物的生物半衰期 D:MRT=AUC/AUMC E:平均滞留时间的单位与药物的生物半衰期单位一样
答案 ABCE
解析

猜你喜欢

发表评论
更多 网友评论0 条评论)
暂无评论

访问排行

Copyright © 2012-2014 恰考网 Inc. 保留所有权利。 Powered by tikuer.com

页面耗时0.0340秒, 内存占用1.03 MB, Cache:redis,访问数据库19次