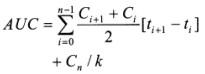
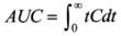
下列是AUC计算公式的有A:AUC=FX0/VkB:C:D:AUC=Xo|ClE:

作者: rantiku 人气: - 评论: 0
问题 下列是AUC计算公式的有
选项 A:AUC=FX0/Vk B: C: D:AUC=Xo|Cl E:
答案 ABCD
解析

猜你喜欢

发表评论
更多 网友评论0 条评论)
暂无评论

访问排行

Copyright © 2012-2014 恰考网 Inc. 保留所有权利。 Powered by tikuer.com

页面耗时0.0332秒, 内存占用1.03 MB, Cache:redis,访问数据库19次