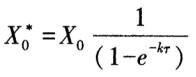
单室模型静脉滴注和静脉注射联合用药,首剂量(负荷剂量)的计算公式A.B.C.D.E.X=X0e-kt

作者: rantiku 人气: - 评论: 0
问题 单室模型静脉滴注和静脉注射联合用药,首剂量(负荷剂量)的计算公式
选项

A.
B.
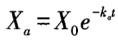
C.
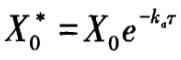
D.
E.X=X0e-kt

答案 D
解析 本题主要考查单室模型静脉注射和静脉滴注的药动学方程和药动学参数的计算。包括单室模型静脉注射体内药量随时间变化关系式和首剂量与维持量的关系式,静脉滴注、静脉注射联合用药时首剂量(负荷剂量)的计算公式。故本组题答案应选择ECD。

猜你喜欢

发表评论
更多 网友评论0 条评论)
暂无评论

访问排行

Copyright © 2012-2014 恰考网 Inc. 保留所有权利。 Powered by tikuer.com

页面耗时0.0347秒, 内存占用1.03 MB, Cache:redis,访问数据库19次