单室模型静脉滴注给药,达稳态前停止滴注给药的血药浓度一时间关系式是A.C=C0e-ktB.C.C=k0(1-e-kt)/VkBD.lgC′=(-k/213...

作者: rantiku 人气: - 评论: 0
问题 单室模型静脉滴注给药,达稳态前停止滴注给药的血药浓度一时间关系式是
选项

A.C=C0e-kt
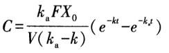
B.
C.C=k0(1-e-kt)/VkB
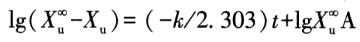
D.lgC′=(-k/21303)t′+lg[k0(1-e-kt)/Vk]
E.

答案 D
解析
发表评论
更多 网友评论0 条评论)
暂无评论

Copyright © 2012-2014 恰考网 Inc. 保留所有权利。 Powered by tikuer.com

页面耗时0.0308秒, 内存占用1.03 MB, Cache:redis,访问数据库17次