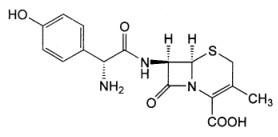
阿莫西林的化学结构是A.B.C.D.E.

作者: rantiku 人气: - 评论: 0
问题 阿莫西林的化学结构是
选项

A.
B.
C.
D.
E.

答案 C
解析 本组题考查β-内酰胺类抗生素的结构。E为头孢噻吩钠。故本组题答案应选BDAC。

猜你喜欢

发表评论
更多 网友评论0 条评论)
暂无评论

访问排行

Copyright © 2012-2014 恰考网 Inc. 保留所有权利。 Powered by tikuer.com

页面耗时0.0548秒, 内存占用1.03 MB, Cache:redis,访问数据库18次