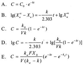
单室模型血管外给药血药浓度时间关系式是

作者: rantiku 人气: - 评论: 0
问题 单室模型血管外给药血药浓度时间关系式是
选项

答案 E
解析
发表评论
更多 网友评论0 条评论)
暂无评论

访问排行

Copyright © 2012-2014 恰考网 Inc. 保留所有权利。 Powered by tikuer.com

页面耗时0.0708秒, 内存占用1.03 MB, Cache:redis,访问数据库20次