A.单室单剂量血管外给药血药浓度-时间关系式B.单室单剂量静脉滴注给药血药浓度-时间关系式C.单室单剂量静脉注射给药血药浓度-时间关系式D.单室多剂量静脉...

作者: rantiku 人气: - 评论: 0
问题
选项

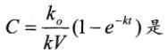
A.单室单剂量血管外给药血药浓度-时间关系式
B.单室单剂量静脉滴注给药血药浓度-时间关系式
C.单室单剂量静脉注射给药血药浓度-时间关系式
D.单室多剂量静脉注射给药血药浓度-时间关系式
E.表示某口服制剂的绝对生物利用度

答案 B
解析

猜你喜欢

发表评论
更多 网友评论0 条评论)
暂无评论

访问排行

Copyright © 2012-2014 恰考网 Inc. 保留所有权利。 Powered by tikuer.com

页面耗时0.0402秒, 内存占用1.03 MB, Cache:redis,访问数据库17次