西咪替丁A.B.C.D.E.

作者: rantiku 人气: - 评论: 0
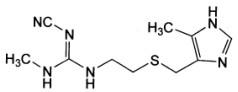
问题 西咪替丁
选项

A.
B.
C.
D.
E.

答案 B
解析 考查本组药物的化学结构。C为法莫替丁,D为尼扎替丁,E为罗沙替丁。故本组题答案应选BA。

猜你喜欢

发表评论
更多 网友评论0 条评论)
暂无评论

访问排行

Copyright © 2012-2014 恰考网 Inc. 保留所有权利。 Powered by tikuer.com

页面耗时0.0336秒, 内存占用1.03 MB, Cache:redis,访问数据库19次