单室模型血管外给药C-t关系式

作者: rantiku 人气: - 评论: 0
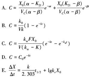
问题 单室模型血管外给药C-t关系式
选项

答案 C
解析

猜你喜欢

发表评论
更多 网友评论0 条评论)
暂无评论

访问排行

Copyright © 2012-2014 恰考网 Inc. 保留所有权利。 Powered by tikuer.com

页面耗时0.0446秒, 内存占用1.01 MB, Cache:redis,访问数据库20次