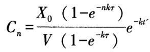
A.单室单剂量血管外给药c-t关系式B.单室单剂量静脉滴注给药c-t关系式C.单室单剂量静脉注射给药c-t关系式D.单室多剂量静脉注射给药c-...

作者: rantiku 人气: - 评论: 0
问题
选项 A.单室单剂量血管外给药c-t关系式 B.单室单剂量静脉滴注给药c-t关系式 C.单室单剂量静脉注射给药c-t关系式 D.单室多剂量静脉注射给药c-t关系式 E.多剂量函数
答案 D
解析

猜你喜欢

发表评论
更多 网友评论0 条评论)
暂无评论

访问排行

Copyright © 2012-2014 恰考网 Inc. 保留所有权利。 Powered by tikuer.com

页面耗时0.0350秒, 内存占用1.03 MB, Cache:redis,访问数据库20次