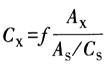
A.色谱内标法B.色谱外标法C.计算色谱峰拖尾因子D.计算容量因子E.理论板数计算色谱法中,以下公式分别用于

作者: rantiku 人气: - 评论: 0
问题
选项 A.色谱内标法 B.色谱外标法 C.计算色谱峰拖尾因子 D.计算容量因子 E.理论板数计算 色谱法中,以下公式分别用于
答案 A
解析

猜你喜欢

发表评论
更多 网友评论0 条评论)
暂无评论

访问排行

Copyright © 2012-2014 恰考网 Inc. 保留所有权利。 Powered by tikuer.com

页面耗时0.0237秒, 内存占用1.02 MB, Cache:redis,访问数据库13次