不是羟甲戊二酰辅酶A还原酶抑制剂类调血脂药的是A: B: C: D: E:

作者: tihaiku 人气: - 评论: 0
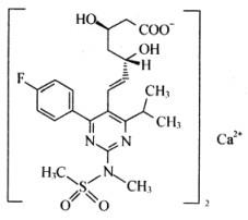
问题 不是羟甲戊二酰辅酶A还原酶抑制剂类调血脂药的是
选项 A: B: C: D: E:
答案 E
解析 本题考点是羟甲戊二酰辅酶A还原酶抑制剂类调血脂药的结构特征。它们都具有二羟基戊酸(或其内酯环)的基本药效结构片段。结构式A~D依次是洛伐他汀、氟伐他汀、辛伐他汀、瑞舒伐他汀钙,符合其基本结构。E氯贝丁酯是苯氧乙酸类。

相关内容:不是,羟甲,二酰,辅酶,抑制剂,类调,血脂

猜你喜欢

发表评论
更多 网友评论0 条评论)
暂无评论

Copyright © 2012-2014 恰考网 Inc. 保留所有权利。 Powered by tikuer.com

页面耗时0.0275秒, 内存占用1.04 MB, Cache:redis,访问数据库19次