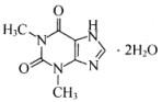
与以下结构所示药物不符的是A:是黄嘌呤的衍生物,治疗哮喘 B:在肝的代谢受西咪替丁、红霉素等物的影响 C:有效血药浓度与中毒血药浓度差别小,需要在使用...

作者: tihaiku 人气: - 评论: 0
问题 与以下结构所示药物不符的是
选项 A:是黄嘌呤的衍生物,治疗哮喘 B:在肝的代谢受西咪替丁、红霉素等物的影响 C:有效血药浓度与中毒血药浓度差别小,需要在使用过程中监测血药度 D:其代谢过程是嘌呤开环并排出体外 E:与乙二胺的复合物可增加其水溶性
答案 D
解析 结构式是茶碱。本题考点是茶碱的结构、性质、代谢及药物相互作用。它在体内的代谢过程是脱去N-甲基或C-8位氧化成尿酸而排出体外,故D是不合理的。

相关内容:结构,药物,黄嘌呤,衍生物,治疗,哮喘,代谢,受西,咪替,红霉素,影响,血药,浓度,中毒,差别

猜你喜欢

发表评论
更多 网友评论0 条评论)
暂无评论

Copyright © 2012-2014 恰考网 Inc. 保留所有权利。 Powered by tikuer.com

页面耗时0.0754秒, 内存占用1.04 MB, Cache:redis,访问数据库20次