以下哪个结构所示物是神经氨酸酶抑制剂A: B: C: D: E:

作者: tihaiku 人气: - 评论: 0
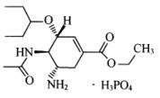
问题 以下哪个结构所示物是神经氨酸酶抑制剂
选项 A: B: C: D: E:
答案 C
解析 结构式A~E依次是膦甲酸钠、金刚烷胺、奥司他韦、金刚乙胺、奈韦拉平。本题考点是药物结构及作用机制,C奥司他韦的作用机制是抑制神经氨酸酶。

相关内容:结构,神经,抑制剂

猜你喜欢

发表评论
更多 网友评论0 条评论)
暂无评论

Copyright © 2012-2014 恰考网 Inc. 保留所有权利。 Powered by tikuer.com

页面耗时0.0327秒, 内存占用1.04 MB, Cache:redis,访问数据库18次