根据stoke′s定律,提高混悬剂稳定性的措施包括A:降低药物粒度 B:增加药物的溶解度 C:增加分散介质的黏度 D:增加分散相与分散介质的密度差 ...

作者: tihaiku 人气: - 评论: 0
问题 根据stoke′s定律,提高混悬剂稳定性的措施包括
选项 A:降低药物粒度 B:增加药物的溶解度 C:增加分散介质的黏度 D:增加分散相与分散介质的密度差 E:减少药物的表面积
答案 AC
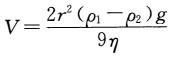
解析 本题考查混悬剂的稳定性。混悬剂中的微粒受重力作用产生沉降时,其沉降速度服从Stoke′s定律:
,根据Stoke′s定律,增加混悬剂的动力稳定性的主要方法:①尽量减小微粒半径,以减小沉降速度;②增加分散介质的黏度,以减小固体微粒与分散介质间的密度差。故本题答案应选AC。

相关内容:根据,定律,混悬剂,措施,药物,粒度,溶解度,黏度,密度

猜你喜欢

发表评论
更多 网友评论0 条评论)
暂无评论

Copyright © 2012-2014 恰考网 Inc. 保留所有权利。 Powered by tikuer.com

页面耗时0.0311秒, 内存占用1.04 MB, Cache:redis,访问数据库18次