单室模型静脉注射给药血药浓度时间关系式是 A.C=C0e-kt B. C.C=k0(1-e>-kt)/υk D.lg...

作者: tihaiku 人气: - 评论: 0
问题 单室模型静脉注射给药血药浓度时间关系式是
选项

A.C=C0e-kt
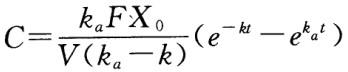
B.
C.C=k0(1-e>-kt)/υk
D.lgC′=(-k/2.303)t′+lg[>k0(1-e>-kt)/υk]
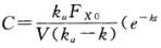
E.

答案 A
解析 本组题考查药动学基本公式。单室模型静脉注射给药血药浓度时间关系式是C=C0e-kt单室模型静脉滴注给药,达稳态前停止滴注给药的血药浓度时间关系式是LgC′=(-k/2.303)t′+lg[k0(1-e-kt)/Vk];单室模型血管外给药血药浓度时间关系式是;单室模型静脉滴注给药血药浓度时间关系式是C=k0(1-e-kt)/υk。故本组题答案应选ADEC。

相关内容:单室,模型,血药,浓度,时间,关系,C0e-kt,upsilon,D.lg...

猜你喜欢

发表评论
更多 网友评论0 条评论)
暂无评论

Copyright © 2012-2014 恰考网 Inc. 保留所有权利。 Powered by tikuer.com

页面耗时0.0317秒, 内存占用1.05 MB, Cache:redis,访问数据库19次