NO供体类抗心绞痛药A.B.C.D.E.

作者: tihaiku 人气: - 评论: 0
问题 NO供体类抗心绞痛药
选项

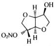
A.
B.
C.
D.
E.

答案 A
解析 本组题考点是药物作用机制及临床用途。结构式A~E依次是单硝酸异山梨酯、替米沙坦、盐酸尼卡地平、盐酸喹那普利、盐酸莫索尼定,与其作用机制一一对应。

相关内容:供体,类抗,心绞痛,A.B.C.D.E.

猜你喜欢

发表评论
更多 网友评论0 条评论)
暂无评论

Copyright © 2012-2014 恰考网 Inc. 保留所有权利。 Powered by tikuer.com

页面耗时0.0379秒, 内存占用1.04 MB, Cache:redis,访问数据库19次