表示一室模型单剂量口服给药后的血药浓度变化规律A.C=Ae-αt+Be-βtB.C.D.C=C0e-ktE.

作者: tihaiku 人气: - 评论: 0
问题 表示一室模型单剂量口服给药后的血药浓度变化规律
选项

A.C=Ae-αt+Be-βt
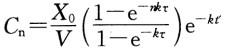
B.
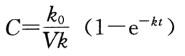
C.
D.C=C0e-kt
E.

答案 B
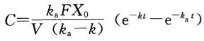
解析 本组题的考点为药动学公式。要求能够识别公式的用途。A表示二室模型单剂量静脉注射给药后的血药浓度变化规律;D表示一室模型单剂量静脉注射给药后的血药浓度变化规律。

相关内容:一室,模型,单剂量,剂量,口服,血药,浓度,变化,规律,tB.C.D.C,C0e-ktE.

猜你喜欢

发表评论
更多 网友评论0 条评论)
暂无评论

Copyright © 2012-2014 恰考网 Inc. 保留所有权利。 Powered by tikuer.com

页面耗时0.0347秒, 内存占用1.04 MB, Cache:redis,访问数据库20次